合作客戶/
拜耳公司 |
同濟大學 |
聯合大學 |
美國保潔 |
美國強生 |
瑞士羅氏 |
相關新聞Info
推薦新聞Info
-
> ?《Nature》論文致謝欄常客:超微量天平的生物膜研究顛覆性應用
> Na2CO3溶液與模擬油反應不同時間后產物的界面張力、剪切黏度(二)
> Na2CO3溶液與模擬油反應不同時間后產物的界面張力、剪切黏度(一)
> 耐擦刮無膠消光膜制備方法、高表面張力與收解卷順暢性的平衡(二)
> 耐擦刮無膠消光膜制備方法、高表面張力與收解卷順暢性的平衡(一)
> 利用超微量天平制備微孔淀粉處理含Cu(II)離子染料廢水
> 不同類型的堿、pH值對孤東油田原油界面張力的影響(下)
> 不同類型的堿、pH值對孤東油田原油界面張力的影響(上)
> 不同結晶結構的脂肪晶體顆粒界面自組裝行為、儲藏穩定性研究
> 新型POSS基雜化泡沫穩定劑表面張力測定及對泡沫壓縮性能的影響(三)
表面與界面物理力學
來源:科技千里眼 瀏覽 2800 次 發布時間:2022-06-20
今天咱們一同進入一個新的領域——【表面與界面物理力學】。
那么就從我們最常聽說的名詞——“表面張力”入手吧。
先來點準備知識——
表面與界面
表面(surface)是指【凝聚相】與【氣體/真空】之間的分界面。
界面(interface)是指【凝聚相】與【凝聚相】之間的分界面。
凝聚相,可以理解為“固相+液相”。
表面能——形成表面的代價
分子在材料的本體(bulk)中,四面八方都有其它的小伙伴,形成均勻的作用力和距離。
但是,表面的出現,使得一些分子變得不同,它們的外側是氣體或真空,幾乎沒有作用力,這使得表面上的分子“很不安分”,產生了額外的能量——表面能。
如何理解“表面能”呢?
比如,你把一塊巧克力掰成了兩半,巧克力發生的變化僅僅是增加了兩個表面,而你掰的過程必須消耗掉能量E,因此每個表面的表面能就是E/2。
所以,表面能代表的是巧克力與空氣的差異;同理,所謂“界面能”,就是表征界面兩側兩種物質的差異,差異越大,界面能越大。
表面張力——減少表面能的努力
自然界的大道之一,就是“最小能量原理”。一個液滴,會自發地尋找能量最小的形狀,這里的能量就是表面能,而在表面上的作用力就是表面張力。
太空無重力下的汞滴,會自發形成一顆完美的圓球;空中漂浮的肥皂泡,也會自發地形成一個個球形薄膜——
因為,在相同體積的物體中,球的表面積是最小的,物質會自發地趨向于表面積最小。
這是因為,表面能正比于面積。
下面咱們展開來看一看這其中的關系。
單位中蘊含重要原理
表面張力的單位為【N/m】,經過換算,我們發現【N/m】=【J/m^2】。
從這個等價單位可以看出,表面張力其實是“單位面積上的能量”。即:
表面張力=表面能密度
這樣,我們就更容易理解公式——
表面能[J]=表面張力[N/m]×面積[m^2]
其實就是——
表面能[J]=表面能密度[J/m^2]×面積[m^2]
以上其實是“量綱分析”的一種典型應用,為了簡單,采用“單位”的方式敘述,其實道理是一樣的。
拓展:壓強就是壓力能密度
由以上分析,我們可以想到,壓強的單位——
【Pa】=【N/m^2】=【J/m^3】
是否有所啟發?
是的。壓強,其實就是壓力能(儲存于三維體)的密度。
對應的,表面張力,是表面能(儲存于二維面)的密度。
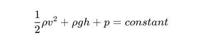
還記得流體力學中的"靜力學方程"嗎——
其實就是單位體積的能量守恒——動能+重力勢能+壓力能為常量。
再拓展:表面張力是強度量
物理量分兩類:強度量(intensive quantity)與廣延量(extensive quantity)。
強度量是指與體系質量無關的量,如應力、壓強、密度、溫度、比熱、表面能密度(表面張力)等。
廣延量就是與體系質量成正比的量,如體積、內能、面積、質量、熵、電量、表面能等。
換種思考,強度量不具有可加性,廣延量具有可加性。
比如說,溫度加溫度是什么?沒有物理意義呀。
兩者的關系是——
廣延量=強度量×體系的量
需要提醒的是,我們已經知道——
表面能密度[J/m^2]=表面張力[N/m]
表面能[J]=表面張力[N/m]×面積[m^2]
不過,大量的中文文獻和書籍中,經常用“表面能”來代替“表面能密度”,閱讀時需要注意。
壓強與表面張力的關系
先做一個小實驗:咱們拿一個"鐵絲圓環",從肥皂水里蘸一下,取出后會形成一個非常平整的薄膜。(這是因為肥皂膜自發地追求表面/表面能最小)
這時,咱們在一側吹氣(相當于施加了一個壓強),平整的薄膜就發生“彎曲”——
事實上,彎曲的表面與壓強最終達到平衡。
那么,咱們列一下平衡方程吧(假設壓強均勻、薄膜為球面)——關注黑色圓平面:
表面張力×圓周長=壓強×圓面積
從前面的量綱分析中,我們也看到該公式的合理性,寫成單位形式——
[N/m]×[m]=[N/m^2]×[m^2]
公式化簡,得到——
p=2γ/R
這就是標準的球曲面下,壓強與表面張力的關系。
這個公式也是【楊-拉普拉斯方程】的一種簡單的形式。
還有更簡單的形式
楊-拉普拉斯方程還有更簡單的形式,這里需要我們了解一點關于曲率的概論。
中學時我們學過,曲率κ定義為半徑的倒數,即:κ=1/R。
這其實是二維下的特殊情況。
對于三維曲面,曲率等于任意兩個垂直方向上的曲率之和——
顯然,標準球曲面的曲率κ=2/R。
下面不用我說大家也知道如何化簡了——
p=γ·κ
這里的p,可以理解為由于表面的出現,而產生的“附加壓強”,這個壓強的大小與正負,與曲率直接相關。
如下圖,無論是液體中的氣泡,還是氣體中的液滴,只要是球內的部分,壓強就要比球外大,這是由于曲率的正負決定的。
這里科技千里眼奉送一個自己做的仿真計算——液滴在表面張力作用下的變形,我們看到,藍色部分為負曲率,因此壓強為負,而紅色部分為正曲率,因此壓強為正,液體會從正壓強流向負壓強,這也是表面張力影響下流體變形的基本原理。
由公式p=γ·κ想到的
液滴(氣泡)半徑越小,壓強越大,它向周邊溶解氣體的速率就越快;歷經一段時間后,小氣泡會逐漸消失,聚集成大氣泡,這是氣泡的【演變動力學】——
有沒有這種情況,就是液滴(氣泡)半徑無限小,那么,我們是不是創造了一個無限大的壓強呢?
比如,當液滴(氣泡)剛剛形成時,不就是這種情況嗎?
但是,我們也知道,自然界是不會存在無限大的壓強的。這是怎么回事呢?
原來,液滴或氣泡的形成,是需要一個微小的異物(核)的,一般是灰塵;如果水凝聚在灰塵顆粒上,液滴就能夠長大。
對于氣泡來說,也類似,一些碳酸飲料中,氣體的胚胎殘留在瓶壁上的某些位置,這些位置正是極微小的凸凹不平處,它們使得氣泡不斷長大。





