合作客戶/
拜耳公司 |
同濟大學 |
聯合大學 |
美國保潔 |
美國強生 |
瑞士羅氏 |
相關新聞Info
-
> 基于LB膜技術制備膠原蛋白肽覆層羥基磷灰石的新方法——摘要、材料與方法
> 硝磺草酮懸浮劑制劑不同稀釋倍數的動態表面張力測定結果
> 淺談水的表面張力
> 干細胞誘導的人小腸上皮模型用于藥物吸收的體外研究
> 乙醇胺與勝坨油田坨28區塊原油5類活性組分模擬油的動態界面張力(一)
> 七葉皂素分子在氣-液、液-液(油-水)、固-液界面上的界面行為研究(三)
> 什么是超微量天平,超微量天平使用方法、最小稱量值
> 人胰島素的朗繆爾單分子層膜的表面化學和光譜學性質——結論、致謝!
> 不同溫度下手性離子液體及二元混合物的密度和表面張力(上)
> 316L不銹鋼粉末電子束熔化成形的熔合機制的研究(二)
推薦新聞Info
-
> 耐擦刮無膠消光膜制備方法、高表面張力與收解卷順暢性的平衡(二)
> 耐擦刮無膠消光膜制備方法、高表面張力與收解卷順暢性的平衡(一)
> 利用超微量天平制備微孔淀粉處理含Cu(II)離子染料廢水
> 不同類型的堿、pH值對孤東油田原油界面張力的影響(下)
> 不同類型的堿、pH值對孤東油田原油界面張力的影響(上)
> 不同結晶結構的脂肪晶體顆粒界面自組裝行為、儲藏穩定性研究
> 新型POSS基雜化泡沫穩定劑表面張力測定及對泡沫壓縮性能的影響(三)
> 新型POSS基雜化泡沫穩定劑表面張力測定及對泡沫壓縮性能的影響(二)
> 新型POSS基雜化泡沫穩定劑表面張力測定及對泡沫壓縮性能的影響(一)
> 多功能膜材研發:界面張力已成為整套工藝鏈協同下動態演化的核心控制點
不同溫度和壓力對AOT穩定CO2乳液的界面張力影響(二)
來源:中國石油大學學報(自然科學版) 瀏覽 778 次 發布時間:2025-02-06
2實驗結果分析
2.1體系界面流變性
2.1.1 CO2乳液體系界面張力實驗
表面活性劑水溶液的密度與純水體系相近,其密度根據飽和水蒸氣溫度-壓力-密度-熱力學參數對照表確定,CO2密度與壓力溫度的關系見圖3。
圖3不同溫度下CO2壓力隨溫度的變化
表面活性劑水溶液液滴在CO2中的形狀隨溫度變化較小,隨壓力變化關系見圖4。
圖4液滴形狀隨壓力的變化
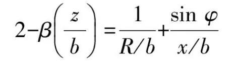
懸滴法測定液體的表面和界面張力原理見圖5。其中,de為懸滴最大直徑;d10為離頂點距離為de處懸滴截面直徑。
(1)
式中,b為懸滴底端(軸x)的曲率半徑;R為懸滴輪廓上一點p(x,z)在紙平面上的主曲率半徑;φ為輪廓線上p(x,z)點處的切線與x軸的夾角;β為體系的Bond number,稱為液滴的形狀因子,因為它的值直接決定了液滴的形狀。
(2)
γ=Δρgα2.
(3)
式中,Δρ為液滴相與周圍相之間的密度差;g為重力加速度;γ為表面/界面張力;α為體系的毛細管常數。
一個懸滴在達到靜力(界面張力對重力)平衡時,其輪廓可通過懸滴底端的曲率半徑b和液滴的形狀因子β來確定。TRACKER-H型界面流變儀就是利用該原理對圖像進行計算處理得出界面相關參數。
(1)壓力對界面張力的影響。壓力對界面張力的影響見圖6。可以看出,CO2-AOT體系的界面張力隨著壓力的升高逐漸降低,約在8 MPa時體系界面張力開始達到最低,之后壓力繼續升高,體系界面張力趨于穩定。原因在于壓力的升高會導致CO2-AOT兩相的密度差減小,有利于體系界面張力的降低;同時高壓使得AOT在CO2中的溶解度增加,使得CO2在兩相界面上吸引更多的表面活性劑分子,有利于表面活性劑降低界面張力。當壓力增加到8 MPa時,此時壓力繼續增加,兩相的密度差和CO2的溶解度系數均增加緩慢,導致界面張力趨于穩定。
圖5懸點法測定界面張力示意圖
圖6不同溫度下壓力對平衡界面張力的影響
(2)溫度對界面張力的影響。溫度對界面張力的影響見圖6。可以看出,當體系壓力一定,體系界面張力隨著溫度的升高而增大,說明溫度的升高不利于體系界面張力的降低。原因在于CO2乳液是熱力學不穩定體系,隨著溫度的升高,CO2本身的溶解度系數和密度均有所降低,分子熱運動的加劇也不利于界面上AOT分子的吸附,導致界面處的AOT分子數目降低,最終導致體系界面張力升高。
2.1.2 CO2乳液體系界面黏彈性實驗
乳液的穩定性很大程度上取決于界面膜的性質,而界面黏彈性是表征界面膜機械強度的重要參數,通常用界面擴張模量(ε)表征界面黏彈性的強弱,定義為界面張力變化與相對界面面積變化的比值,即
ε=dγ/dlnA(4)
式中,γ為界面張力;A為界面面積。
(1)壓力對界面黏彈性的影響。壓力對CO2-AOT水溶液體系擴張模量的影響見圖7。界面的擴張模量與實驗的振蕩頻率有關,實驗選取0.1 Hz為振蕩頻率,振蕩頻率在實驗過程中保持不變,排出振蕩頻率的影響。可以看出,CO2-AOT水溶液體系擴張模量隨著壓力的增加而增大,當壓力升高至8 MPa后體系的擴張模量趨于穩定。這是因為壓力的增加會導致CO2-AOT界面處的黏度增加,流體變稠,界面面積的變化需要更大的力;同時壓力升高導致CO2的密度增加,范德華力增加,對界面處的AOT分子有更大的吸引力,使得AOT分子在界面處更緊密的排列,使得界面黏彈性大大增加,但是壓力升高至8 MPa后,壓力的升高使流體變稠的能力減弱,擴張模量趨于穩定。
圖7不同溫度下擴張模量隨壓力的變化關系
(2)溫度對界面黏彈性的影響。從圖7也可得出溫度對CO2-AOT水溶液體系擴張模量的影響規律。CO2-AOT水溶液體系的擴張模量隨著溫度的升高逐漸降低,說明升高溫度對體系界面黏彈性具有不利影響。其機制在于溫度升高使得CO2對界面處AOT分子的吸引力減弱,不利于AOT分子在界面處的排列,也不利于AOT分子在界面處的吸附,從而導致界面擴張模量降低,界面膜的強度下降。





