合作客戶/
拜耳公司 |
同濟大學 |
聯合大學 |
美國保潔 |
美國強生 |
瑞士羅氏 |
相關新聞Info
推薦新聞Info
-
> 納米熔鹽形成機理、表面張力測定及影響因素研究(三)
> 納米熔鹽形成機理、表面張力測定及影響因素研究(二)
> 納米熔鹽形成機理、表面張力測定及影響因素研究(一)
> ?《Nature》論文致謝欄常客:超微量天平的生物膜研究顛覆性應用
> Na2CO3溶液與模擬油反應不同時間后產物的界面張力、剪切黏度(二)
> Na2CO3溶液與模擬油反應不同時間后產物的界面張力、剪切黏度(一)
> 耐擦刮無膠消光膜制備方法、高表面張力與收解卷順暢性的平衡(二)
> 耐擦刮無膠消光膜制備方法、高表面張力與收解卷順暢性的平衡(一)
> 利用超微量天平制備微孔淀粉處理含Cu(II)離子染料廢水
> 不同類型的堿、pH值對孤東油田原油界面張力的影響(下)
量化改進差分毛細管法測試高溫液態瀝青表面張力精度(上)
來源:建筑材料學報 瀏覽 874 次 發布時間:2024-12-04
高溫液態瀝青的表面張力是指高溫液體狀態下的瀝青與空氣接觸的表面層分子在內部分子的分子間作用力下,產生的一種指向液體內部的吸引力;在表面張力的作用下,高溫液態瀝青表面產生了向內部收縮的勢能,即表面能,其表面張力與表面能在數值與量綱上相同。瀝青與集料在拌和壓實過程中,界面接觸并黏附形成瀝青膜,在表面張力的作用下,瀝青膜有不易擴散的趨勢,進而影響瀝青與集料的黏結性能。近年來,瀝青表面張力與表面能理論已廣泛應用于瀝青混合料黏附性研究,且可以作為瀝青混合料界面黏結性能的評價方法和標準。
現行的高溫液態瀝青表面張力的測試方法有毛細管法、差分毛細管法和懸滴法等。毛細管法在測量瀝青上升高度時,由于液體對毛細管外壁的浸潤作用而產生測量誤差,對試驗結果影響較大。有研究機構曾使用差分毛細管法測試高溫液態瀝青的表面張力,但忽略了接觸角、修正高度、毛細管內半徑優選及標定對測試結果的影響,試驗結果具有一定的偏差。根據筆者前期的研究,對于瀝青類高黏度液體而言,懸滴法達到平衡狀態需要較長時間,加之缺乏平衡狀態的判定準則,難以得到準確的懸滴圖像輪廓;且瀝青懸滴與針頭相接觸部分的黏附力較難確定,針頭的大小和類型對于瀝青表面張力測試的適用性較難確定。
基于上述分析,本文基于差分毛細管法,推導出瀝青表面張力計算公式,設計了差分毛細管法測試瀝青表面張力的裝置,標定了毛細管的內半徑,分析了毛細管內半徑、接觸角、修正高度等因素對高溫液態瀝青表面張力測試結果的影響,改進了差分毛細管法并對其有效性進行了驗證,以期推動高溫液態瀝青表面張力的測試技術的進展。
1試驗原理與方法
1.1試驗原理
差分毛細管法測試瀝青表面張力的原理見圖1.將2根同質異徑的毛細管插入高溫液態瀝青中,表面張力產生的附加壓力使毛細管內瀝青液面高于管外瀝青液面,直至向上的壓力與管內液體的重力達到平衡。由圖1可見:在某一初始水平面上,較細毛細管內液體上升高度更高;由于液體對管壁有浸潤性,管內液面呈現凹形半月面形態,在計算管內液體的重力時需考慮管內液面的高度修正。
式中:V為球冠體的體積;S為毛細管橫截面面積;r為毛細管內半徑大小;θ為毛細管內凹液面擬合為球冠狀之后的接觸角;γ為試驗溫度下液體的表面張力計算值。
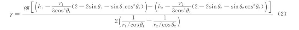
將Δh代入表面張力計算公式,得到式(2):
式中:ρ為試驗溫度下液體的密度;g為當地重力加速度;h1、h2為自同一水平面起,差分組合的毛細管內凹液面上緣的最大上升高度,因表面張力計算僅需同質異徑毛細管內液面的高度差,圖1中的起始平面可在管外瀝青液面與毛細管上升高度間指定;θ1、θ2為毛細管內凹液面擬合為球冠狀之后的接觸角;r1、r2為差分組合的毛細管內半徑大小。
圖1差分毛細管法試驗原理
圖2毛細管內液面的修正高度
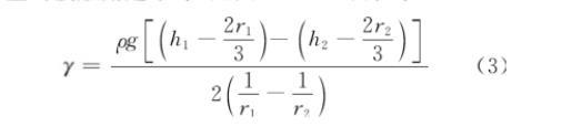
隨著內半徑減小,凹液面趨于半球形狀,液面與管壁的接觸角趨于零(見圖2(b)),可得式(3):
在式(3)的基礎上,忽略接觸角和修正高度,得到差分毛細管法測試瀝青表面張力的現行公式:
(4)
值得注意的是,瀝青不透明,無法觀測凹液面底部位置,在式(2)——(4)中,液面高度統一取為凹液面上緣的最大上升高度;瀝青色黑不透光,無法測量接觸角,因此使用式(3)計算瀝青的表面張力。綜上,高溫液態瀝青的表面張力計算需3個參數:(1)同質異徑毛細管內瀝青液面的最大上升高度;(2)同質異徑毛細管的內半徑;(3)高溫液態瀝青的密度。上述3個參數中,瀝青密度根據GB/T 1884—2000《原油和液體石油產品密度實驗室測定法(密度計法)》,采用自制密度計測試。下文將重點闡述毛細管內液面上升高度和毛細管內半徑的測定方法。
1.2液面上升高度的測量
為準確測量液面上升高度,需采取以下措施:(1)保證毛細管豎直。為此,設計了差分毛細管法的試驗裝置,該裝置可調平,將毛細管豎直粘貼在刻有參考線的金屬塊上,見圖3.(2)利用超聲波,將無水乙醇作為清洗液,清洗毛細管,防止毛細管內部油污、灰塵等影響液面的上升高度。(3)為避免液體浸潤流動消耗能量,導致上升高度受限,使用“補償法”確定液面上升高度:當毛細管內液面停止上升之后,緩慢降低管外毛細管內半徑標定液的液面高度,直至毛細管內液面均呈現下降狀態后停止,等待毛細管內液面穩定。
圖3差分毛細管法試驗裝置立面圖
1)文中涉及的純度、摻量均為質量分數。
1.3毛細管內半徑的標定
毛細管的實際內半徑r與生產標號NRI有一定差異,需進行標定。文中毛細管內半徑在0.08——0.50mm范圍內,難以直接測定。利用式(2),選擇無水乙醇作為標定液,內半徑較粗、可測的毛細管作為基準管,反向標定較細毛細管的內半徑。標定過程為:(1)通過電荷耦合器件(CCD)相機拍攝,并獲取基準管的內半徑。(2)使用相機拍攝毛細管內液面上升高度,以及無水乙醇與管內壁的接觸角;(3)記錄試驗溫度t.根據無水乙醇的表面張力計算公式和溫度~密度特性表獲得其表面張力γe與密度ρ,見式(5)和表1.(4)將上述參數代入式(2),得到毛細管的內半徑值。
表1無水乙醇密度與溫度關系表
1.4差分毛細管法方法改進
選擇內半徑r≤0.50mm和r=1.00mm的毛細管差分組合,使用測微顯微鏡標定毛細管內半徑,式(4)計算表面張力。改進的差分毛細管法與現行方法存在以下差異:(1)采用無水乙醇作為標定液,以式(2)進行毛細管內半徑標定。測微顯微鏡僅能測定某一橫截面的毛細管內半徑,無法得到液面上升高度范圍內的等效內半徑。然而,毛細管內半徑并不均一,隨著內半徑生產標號的減小,毛細管內徑變得粗細不均,采用測微顯微鏡測定毛細管內半徑的誤差增加。因此,采用生產標號1.00mm的毛細管作為基準管,利用CCD相機測定其內半徑,用式(2)反向標定較細毛細管的內半徑,以增加內半徑標定的精度。(2)選用內半徑更小的毛細管進行瀝青的表面張力測試。由于管內液面與管壁接觸角隨著內半徑減小逐漸減小,并趨于零。表面張力計算值的誤差,隨著毛細管內半徑的減小逐漸減小。文中選擇毛細管內半徑組合的生產標號為0.10mm和0.20mm.內半徑生產標號為0.05mm的毛細管內瀝青液面的理論上升高度將超過100mm(毛細管長度),因此不予選擇。(3)改進方法使用式(3)代替式(4)計算瀝青的表面張力,考慮了管內凹液面高度修正對高溫液態瀝青表面張力計算的影響。
2原材料與試驗
2.1原材料
純度1)99.5%的無水乙醇(分析純);70#基質瀝青(B);SBS改性瀝青(S);5種表面活性劑:阿科瑪Cecabase 945(W1)、阿科瑪Cecabase Bio 10(W2)、諾力昂Rediset LQ-1102C(W3)、上海龍孚LYE-WMA(W4)、美德維實偉克M-1(W5),表面活性劑W1——W5摻量分別為瀝青質量的0.4%、0.4%、0.6%、0.6%、0.6%.瀝青的技術指標見表2,其中:黏度采用布式旋轉黏度法測試,取剪切速率為25s-1時的黏度值;基質瀝青、SBS改性瀝青的密度與黏度的測試溫度分別為135、165℃。
表2瀝青的技術指標
2.2試驗方案
為提升高溫液態瀝青表面張力的測試精度,設計以下試驗方案:
(1)接觸角與修正高度對毛細管內半徑的影響。測定無水乙醇與毛細管內壁的接觸角(θ)。采用式(2)標定毛細管的內半徑(r),比較標定內半徑與生產標號的差異。
(2)毛細管內半徑對表面張力的影響。選擇生產標號為0.10mm和0.20mm的差分毛細管組合,采用式(2)標定毛細管的內半徑,用式(3)計算瀝青的表面張力,量化毛細管內半徑標定前后對表面張力測試結果的影響。
(3)表面張力計算值的精度分析。選擇8種瀝青,B、B+W1、B+W2、B+W3、B+W4、B+W5、S、S+W1,對比現行方法和改進方法的表面張力計算值,量化改進差分毛細管法所測表面張力的測試精度。
(4)表面張力指標的有效性驗證。根據改進的差分毛細管法,量化表面活性劑對瀝青表面張力的影響。將其與理論規律進行對比,分析采用表面張力作為表面活性劑瀝青技術性能評價指標的有效性。





